Products CAS NO.

PRODUCTS

  >>  Veterinary Products/APIs
Products

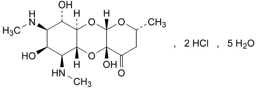
Spectinomycin Hcl(injectable)

 

Quality: USP27      Packing: 10BOU/drum



MAKE AN ORDER

Services | Contact us | Enquiry  
Copyright(C)2009,Techwin Bio.& Pharm.Technology Limited. All Rights Reserved. 粤ICP备5250625号